Rでグラフィックのパラメータはpar()で指定する。par()のパラメータを変更することでplotなどの表示方法を柔軟に変更できる。例えばラベルのフォントの大きさなどである。下記はpar()で指定できるパラメータの一部である。
- col: Color
- pch: Marker
- cex: フォントのサイズ
- lwd: 線の太さ
- lty: 線の太さ
これらのパラメータはグラフ描画をするときに指定することもできる。例えばplot(…. col=”red”)とすれば、plotの色が赤になる。
論文やプレゼンテーションでは相手に対してわかりやすくグラフを表現する。見やすくなれば理解もしやすいので、結果が相手によく伝わる。フォントのサイズを変更することは、下記のようなメリットがある。
- 何について記述されているかすぐにわかる
- 重要ポイントを押さえる
- 余計な部分を隠す
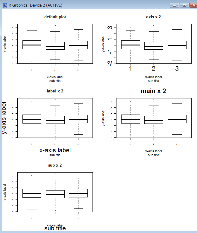
グラフィックパラメータのひとつであるcexはフォントのサイズを変更する。cexを利用すると以下の項目についてフォントサイズが変更される。
- x-y軸のスケール
- x-y軸のラベル
- タイトル
- サブタイトル
cexはデフォルトでは1となっている。フォントサイズは倍数で指定する。例えば1.5倍にしたければcex=1.5, 半分の大きさであればcex=0.5となる。
cexは個別に指定することもできる。
- cex.axis: x-y軸のスケール
- cex.lab: x-y軸のラベル
- cex.main: タイトル
- cex.sub: サブタイトル
それぞれの項目についてサイズを変更してグラフを書いた。
以下実行したコードである。
x <- matrix(rnorm(2000),200,3) colnames(x) <- letters[1:5] par(mfrow=c(3,2)) boxplot(x,xlab="x-axis label", ylab="y-axis label", main="default plot", sub="sub title") boxplot(x, cex.axis=2,xlab="x-axis label", ylab="y-axis label", main="axis x 2", sub="sub title") boxplot(x, cex.lab=2,xlab="x-axis label", ylab="y-axis label", main="label x 2", sub="sub title") boxplot(x, cex.main=2,xlab="x-axis label", ylab="y-axis label", main="main x 2", sub="sub title") boxplot(x, cex.sub=2,xlab="x-axis label", ylab="y-axis label", main="sub x 2", sub="sub title")
