Seabornを利用してデータをビジュアル化してみる。
まずは売り上げの分布図から
sns.distplot(d_train['y'], kde=False, rug=False, bins=50)

次に気温の分布を確認する
sns.distplot(d_train['temperature'], kde=False, rug=False, bins=30)
売上の時系列トレンドを確認
fig=sns.pointplot(x="datetime", y="y", data=d_train, markers=[""])
fig.set_xlabel("Date")
fig.set_ylabel("Sales")
曜日別に売上分布を確認する。
fig=sns.boxplot(x="week", y="y", data=d_train)
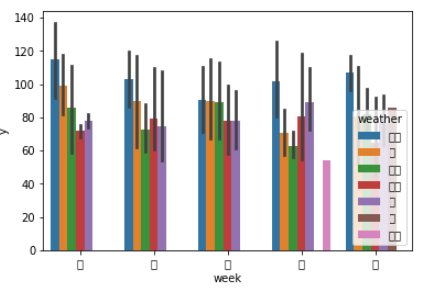
曜日別の売上を天気別にみて統計的に変化があるかを確認する
fig=sns.barplot(x="week", y="y", hue="weather", data=d_train) fig=sns.pointplot(x="week", y="y", hue="weather", data=d_train)




